おかげさまで開設25周年TAXIRACHGIA.IO.VN 創業祭

TAXIRACHGIA.IO.VN

詳しくはこちら
マイストア マイストア 変更
  • 即日配送
  • 広告
  • 取置可能
  • 店頭受取

HOT ! 抹茶碗 五代 清風与平作品

※TAXIRACHGIA.IO.VN 限定モデル
YouTuberの皆様に商品の使い心地などをご紹介いただいております!
紹介動画はこちら

ネット販売
価格(税込)

110400

  • コメリカード番号登録、コメリカードでお支払いで
    コメリポイント : 9ポイント獲得

コメリポイントについて

購入個数を減らす
購入個数を増やす

お店で受け取る お店で受け取る
(送料無料)

受け取り店舗:

お店を選ぶ

近くの店舗を確認する

納期目安:

13時までに注文→17時までにご用意

17時までに注文→翌朝までにご用意

受け取り方法・送料について

カートに入れる

配送する 配送する

納期目安:

2026.04.05 1:1頃のお届け予定です。

決済方法が、クレジット、代金引換の場合に限ります。その他の決済方法の場合はこちらをご確認ください。

※土・日・祝日の注文の場合や在庫状況によって、商品のお届けにお時間をいただく場合がございます。

即日出荷条件について

受け取り方法・送料について

カートに入れる

欲しいものリストに追加

欲しいものリストに追加されました

抹茶碗 五代 清風与平作品の詳細情報

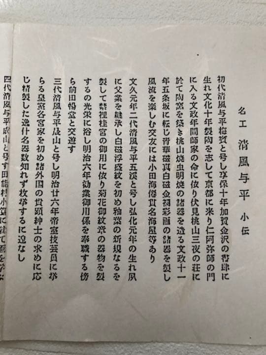
未使用のまま木箱に入れた状態で保管しておりました。茶道具 義山 茶碗 蛍袋 長寿。代々清風与平は皇室各宮家からご愛顧をいただいていたそうです。DAUM France ドーム クリスタルガラス ドルフィン イルカ 置物。詳細は画像のしおりをお読み下さい。作家物吹きガラスの香水瓶 パフュームボトル。ひょうきんな絵柄が珍しい品です。鶴のオルゴール A70。直径16.7㎝ 高さ5㎝種類···茶道具#骨董品 #美術品 #抹茶椀#陶芸 #京焼

同じカテゴリの 商品を探す

ベストセラーランキングです

このカテゴリをもっと見る

この商品を見た人はこんな商品も見ています

近くの売り場の商品

このカテゴリをもっと見る

カスタマーレビュー

オススメ度  4.9点

現在、3849件のレビューが投稿されています。